Внимание! Размещенный на сайте материал имеет информационно - познавательный характер, может быть полезен студентам и учащимся при самостоятельном выполнении работ и не является конечным информационным продуктом, предоставляемым на проверку.
Электротехника → Электрические двигатели → Расчет электрического двигателя МСХ
Артикул: тоэ9-36
Автор решения: admin
Трехфазный асинхронный двигатель с короткозамкнутым ротором, номинальная мощность Рном, включен в сеть на номинальное напряжение Uном частотой f = 50 Гц. Определить:…
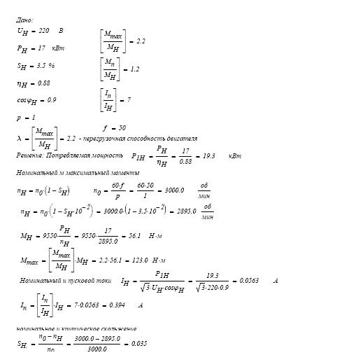
Трехфазный асинхронный двигатель с короткозамкнутым ротором, номинальная мощность Рном, включен в сеть на номинальное напряжение Uном частотой f = 50 Гц. Определить: номинальный Iном и пусковой Iпуск токи, номинальный Мном, пусковой Мпуск и максимальный Мmax моменты, полные потери в двигатели при номинальной нагрузке ∆Рном. Как изменится пусковой момент двигателя при снижении напряжения на его зажимах на 15% и возможен ли пуск двигателя при этих условиях с номинальной нагрузкой? Построить механическую характеристику двигателя. Данные для расчета приведены ниже
Цена: 180.00р.
Часть готового решения
Фрагмент выполненной работы
Цена: 180.00р.



