Внимание! Размещенный на сайте материал имеет информационно - познавательный характер, может быть полезен студентам и учащимся при самостоятельном выполнении работ и не является конечным информационным продуктом, предоставляемым на проверку.
Гидравлика → Гидравлика, гидромашины и гидропривод решение задач под ред. Некрасова → Гидроприводы
Артикул: некр6.21
Автор решения: admin
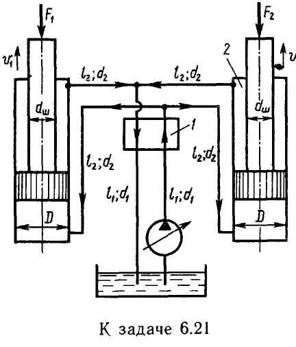
Задача 6.21. В гидравлической системе автомобиля масло подается насосом в силовые гидроцилиндры подъемного устройства. Определить скорости перемещения поршней vn1 и vn2…
Задача 6.21. В гидравлической системе автомобиля масло подается насосом в силовые гидроцилиндры подъемного устройства. Определить скорости перемещения поршней vn1 и vn2, если заданы нагрузки на штоки поршней (F1 и F2); характеристики насоса pH = f(Q) и размеры поршней. В расчете учесть гидравлические сопротивления трубопроводов и каждого канала распределителя 1, заменив его эквивалентной длиной трубы (lр).
Перейти к общему каталогу задач
внимание! корректировка задачи представлена ниже(не всей задачи, а лишь той части, откуда начинается ошибочный расчет)
Часть готового решения
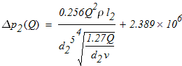
определяем потери давления до точки разделения потоков
где
эквивалентная длина
ΔP =
для второго участка
суммарный перепад давления
Тогда
скорость штока



