Внимание! Размещенный на сайте материал имеет информационно - познавательный характер, может быть полезен студентам и учащимся при самостоятельном выполнении работ и не является конечным информационным продуктом, предоставляемым на проверку.
Гидравлика → Гидравлика, гидромашины и гидропривод решение задач под ред. Некрасова → Гидромашины
Артикул: некр5.17
Автор решения: admin
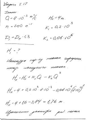
Задача 5.17. Центробежный насос системы охлаждения двигателя внутреннего сгорания работал с подачей Q = 8• 10-3 м3/с и с частотой вращения n = 250 . После модернизации…
Задача 5.17. Центробежный насос системы охлаждения двигателя внутреннего сгорания работал с подачей Q = 8• 10-3 м3/с и с частотой вращения n = 250 . После модернизации системы охлаждения двигателя диаметр рабочего колеса увеличили в 1,3 раза. Определить напор нового насоса, если его подача и частота вращения остались неизменными. Принять, что характеристика исходного насоса описывается тем же уравнением, что и в задаче 5.16
Цена: 70.00р.
Часть готового решения

первая страница (объем 3 листа)
Цена: 70.00р.



