Теплотехника → Теплотехника Камский
Артикул: тепл63-2-2-28
Автор решения: testadmin
Задание № 2. Конвективный теплообмен В теплообменнике типа «труба в трубе» (см. рис. ) необходимо нагреть воздух с массовым расходом…
Задание № 2. Конвективный теплообмен
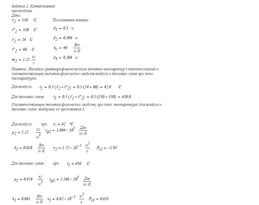
В теплообменнике типа «труба в трубе» (см. рис. ) необходимо нагреть воздух с массовым расходом m2=…[кг/c] от температуры =…[C] до температуры =…[C].
Теплота передается от дымовых газов с начальной температурой =…[C] и конечной =…[C].
Дымовые газы движутся по внутренней стальной трубе диаметром мм.
Воздух движется по кольцевому зазору противотоком к дымовым газам.
Внутренний диаметр внешней трубы d3 = 504 мм.
Определить площадь теплообмена A, длину теплообменной поверхности l и суммарную мощность N, необходимую на преодоление гидравлического сопротивления при движении теплоносителей по каналам теплообменника.
Вариант 28
Часть готового решения




