Теплотехника → Теплотехника Камский
Артикул: тепл63-2-3-11
Автор решения: testadmin
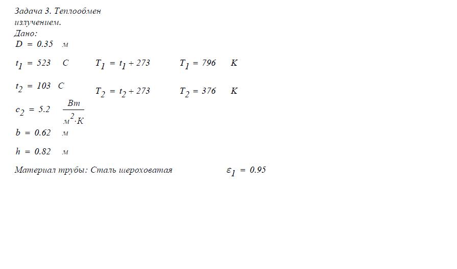
Задание № 3. Теплообмен излучением Стенка трубопровода диаметром d = …[мм] нагрета до температуры t1=…[°С] и имеет коэффициент теплового…
Задание № 3. Теплообмен излучением
Стенка трубопровода диаметром d = …[мм] нагрета до температуры t1=…[°С] и имеет коэффициент теплового излучения .
Трубопровод помещен в канал сечением b х h [мм], поверхность которого имеет температуру t2=…[°С] и коэффициент лучеиспускания c2 =… [Вт/(м2•K4)].
Рассчитать приведенный коэффициент лучеиспускания и потери теплоты Q трубопроводом за счет лучистого теплообмена.
Вариант 11
Цена: 60.00р.
Часть готового решения

Цена: 60.00р.



