Теплотехника → Техническая термодинамика → Газовые циклы
Артикул: тепло68-18
Автор решения: testadmin
Курсовая работа «Газовый цикл тепловых двигателей и установок» Требуется: 1. Определить…
Курсовая работа «Газовый цикл тепловых двигателей и установок»
Требуется:
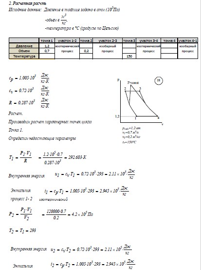
1. Определить параметры p, v, T, u, i для основных точек цикла.
2. Найти: n, du, di, ds, dq, l для каждого процесса, входящего в состав цикла.
3. Определить работу цикла l, термический к.п.д. цикла и индикаторное давление pi.
4. Полученные данные поместить в сводные таблицы.
5. Построить цикл в координатах p-v и T-S, соблюдая масштаб построения. Каждый процесс должен быть построен по двум-трем промежуточным точкам. При выполнении задания следует обратить внимание на физический смысл величин и их размерности.
структура:
Содержание
Основные сокращения и обозначения
Введение
1. Теоретическая часть
2. Расчетная часть
3. Графическая часть
Заключение
Библиография
Выполнен вариант - 18
Количество страниц - 19
Формат документа - pdf
В начало
Цена: 850.00р.




