Теплотехника → Теоретические основы теплотехники
Артикул: тепл80-1-11
Автор решения: admin
Газовые смеси и теплоемкости (Параметры состояния. Уравнение состояния.) Газовая смесь задана следующим образом: в вариантах с № 1 по 15 в объемных долях ri, с № 16 по…
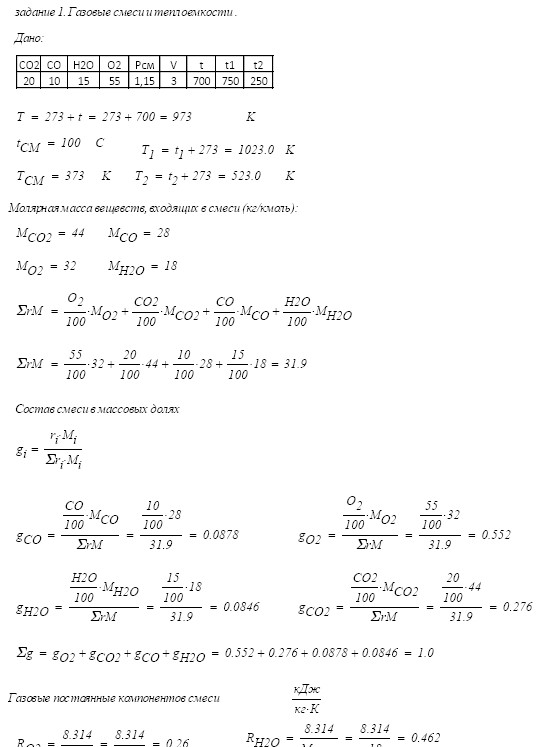
Газовые смеси и теплоемкости (Параметры состояния. Уравнение состояния.) Газовая смесь задана следующим образом: в вариантах с № 1 по 15 в объемных долях ri, с № 16 по 30 в массовых gi долях, процентным составом компонентов смеси (графа 1); давление смеси pсм = …[бар] (графа 2), объем смеси Vсм = …[м3] (графа 3), температура смеси tсм=100C (Tсм=373 K).
Определить:
- состав смеси (если состав смеси задан в объемных долях, то представить его в массовых долях, если состав смеси задан в массовых долях, то представить его в объемных долях);
- газовые постоянные компонентов и смеси , [кДж/(кг•К)].
- среднюю молярную массу смеси, , [кг/кмоль], выраженную через объемные и массовые доли;
- парциальные давления компонентов pi, выраженные через объемные ri и массовые gi доли;
- массу смеси mсм, [кг] и ее компонентов mi, [кг]; - парциальные объемы Vi, [м3] и плотности ρi, [кг/м3] компонентов и смеси ρсм, [кг/м3];
- истинную молярную , [кДж/(кмоль•К)], объемную , [кДж/(м3•К)] и массовую , [кДж/(кг•К)] теплоемкости для , при температуре смеси t, [C] (графа 4).
- среднюю молярную , [кДж/(кмоль•К)], объемную , [кДж/(м3•К)] и массовую , [кДж/(кг•К)] теплоемкости интервала температур t1–t2, [C] (графа 5).
- количество теплоты Q, [кДж], необходимое для нагрева (охлаждения) , на интервале температур t1–t2, [C] (графа 5) при для случаев, когда количество вещества смеси задано как: 2 моль, 5 м3, 7 кг.
Выполнен вариант №11
Общий объем - 7 листов
Формат - pdf
в каталог
Цена: 350.00р.




