Артикул: внецентренное растяжение
Автор решения: admin
Расчетно-проектировочноая работа «Расчет на прочность стального бруса при внецентренном растяжении» Задано: стальной брус составного…
Расчетно-проектировочноая работа
«Расчет на прочность стального бруса при внецентренном растяжении»
Задано:
-
стальной брус составного сечения, работающий на внецентренное растяжение;
-
точка приложения силы Р;
-
материал бруса (предел текучести от);
-
коэффициент запаса прочности ят.
Исходные данные для расчета взять из табл. 5.1, 5.2 и рис. 5.2 в соответствии с цифрами номера варианта (ЦНВ).
Необходимо для стального бруса выполнить следующее.
-
Вычислить координаты центра тяжести сечения.
-
Определить положение главных центральных осей инерции и величины главных моментов инерции сечения.
-
Составить уравнение нейтральной линии и нанести ее на сечение.
-
Найти опасные точки в сечении.
-
Вычислить допускаемую нагрузку [Р] на заданный брус из условия прочности при внецентренном растяжении.
Если ваша задача из задачника Добровольского или Девятерикова (Исходная таблица и схемы), то для заказа следует нажать "Добавить в корзину" и в окне оплаты в комментариях указать свой 4-х значный вариант. Либо написать мне |через сайт| в контакте| на почту|
Если у вас значения для расчета произвольные - нажимайте "заказать подобную задачу" и в окне заказа указывайте свои расчетные данные. Либо высылайте файл с заданием.
Ниже представлен пример решения РПР. Решение предоставляется в формате pdf.
Часть готового решения
Расчетно-проектировочноая работа «Расчет на прочность стального бруса при внецентренном растяжении»
Задано: стальной брус составного сечения, работающий на внецентренное растяжение; точка приложения силы Р; материал бруса (предел текучести от); коэффициент запаса прочности ят. Исходные данные для расчета взять из табл. 5.1, 5.2 и рис. 5.2 в соответствии с цифрами номера варианта (ЦНВ).
Необходимо для стального бруса выполнить следующее.
1. Вычислить координаты центра тяжести сечения.
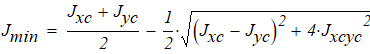
2. Определить положение главных центральных осей инерции и величины главных моментов инерции сечения.
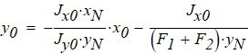
3. Составить уравнение нейтральной линии и нанести ее на сечение.
4. Найти опасные точки в сечении.
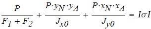
5. Вычислить допускаемую нагрузку [Р] на заданный брус из условия прочности при внецентренном растяжении.
Решение:
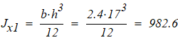
1. С учетом цифр номера и сортамента прокатной стали вычерчиваем в масштабе составное сечение.
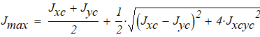
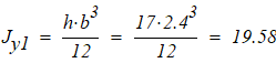
2.Находим геометрические характеристики сечений отдельных элементов относительно собственных центральных осей
12. Наносим нейтральную линию на составное сечение и проводим касательную к сечению, паралельную к нейтральной линии , видно, что опасной является точка А



