Сопромат → Кручение вала расчет онлайн
Артикул: сопр03
Автор решения: admin
Задан ступенчатый вал, нагруженный внешними сосредоточенными (m) и распределенными крутящими (M) моментами. Что будет выполнено в результате расчета 1. Начерчена…
Задан ступенчатый вал, нагруженный внешними сосредоточенными (m) и распределенными крутящими (M) моментами.
Что будет выполнено в результате расчета
1. Начерчена индивидульная расчетная схема вала.
2. Построена эпюра крутящих моментов Мк в долях М.
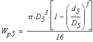
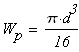
3. Построена эпюра касательных напряжений mах в долях M/Wp, где Wp = nd³/ 16 -полярный момент сопротивления сечения диаметром d вала.
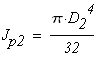
4. Построена эпюра углов закручивания φ2 в долях Ml/GJp, где Jp = nd4/ 32 - полярный момент инерции сечения диаметром d вала.
5. Вычислены диаметры участков вала из условия прочности при кручении.
6. Проверено и при необходимости обеспечено выполнение условия жесткости вала.
возможности расчета:
• Число расчитываемых участков - от 1 до 5
• Вал внутри можно сделать полым (внутренний диаметр можно выбирать произвольно по вашему усмотрению)
Скачать бланк заполнения заявки
Ниже представлена выполненая работа. Орентировочная стоимость - 150р
Решение задачи
Дополнительные данные
1.Вычерчиваем индивидуальную расчетную схему вала с учетом обобщенной схемы и в соответствии с исходными данными, определяемыми по цифрам номера варианта.
2.Вычисляем реактивный момент жесткого защемления вала из условия статического равновестия
3. Используя метод сечений, определяем законы изменения крутящего момента в сечении на участках вала
ПЕРВЫЙ УЧАСТОК
при
при
ВТОРОЙ УЧАСТОК
при
при
ТРЕТИЙ УЧАСТОК
при
при
ЧЕТВЕРТЫЙ УЧАСТОК
при
при
ПЯТЫЙ УЧАСТОК
при
при
По полученным значениям строим эпюру крутящих моментов в долях М
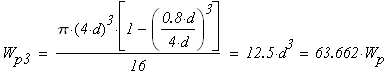
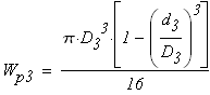
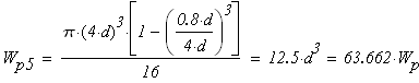
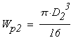
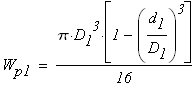
4. Обозначаем полярный момент сопротивления
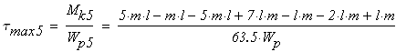
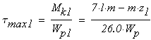
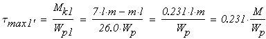
5. Вычисляем наибольшие касательные напряженияна участках вала
Первый участок
при
при
Второй участок
при
при
Третий участок
при
при
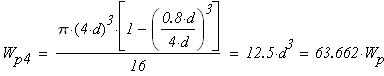
Четвертый участок
Пятый участок
По полученным значениям строим эпюру наибольших касательных напряжений на участках вала в долях M/Wp
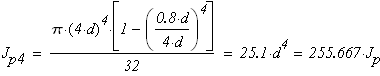
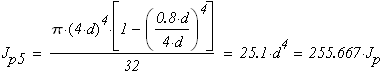
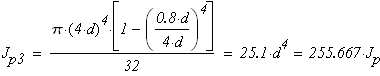
6. Обозначаем полярный момент инерции
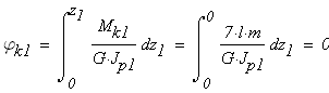
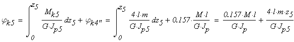
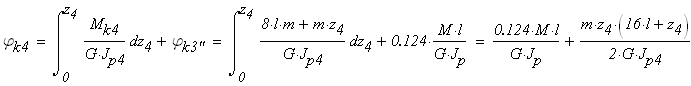
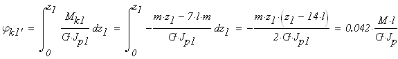
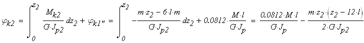
7. Используя закон Р.Гука в интегральной форме находим углы закручивания на участках вала
Первый участок
при
при
при
Второй участок
при
при
при
Третий участок
при
при
при
Четвертый участок
при
при
при
Пятый участок
при
при
при
По полученным значениям строим эпюру углов закручивания в долях Ml/GJp
8. Анализируя эпюру t определим опасное по жесткости сечение.
Вычисляем допускаемый диаметр
Анализируя эпюру углов поворота, находим опасное по жесткости сечение
Допустимый угол закручивания
Вычислим допускаемый диаметр из условия жесткости
тогда получим:
поперечные размеры участков вала
При этих размерах поперечных сечений будет обеспечена их прочнось, так и жесткость вала




